C型钢檩条稳定系数计算
bear
2023-10-21
99
0

前言

    接着上一篇关于"檩条详细计算及系列对比"继续展开,这一篇文章主要详细展开檩条的受弯稳定系数如何进行计算,规范的各种公式还是比较复杂的,多种软件之间到底是否具有可信度,自己能不能进行相应的甄别,这都是一个问题,需要通过实际的例子去比对和计算(也许就是需要纠结这些这些小点才能把问题真正的弄懂和掰扯清楚)计算檩条。

檩条受力的特点

  1. 冷弯开口薄壁型钢檩条的侧向抗弯能力很弱,其稳定性差,需设置拉条增强檩条的侧向刚度。采用轻型屋面体系时,风揭荷载大于屋面板体系的自重,因此无论檩条的上翼缘还是下翼缘均会受压应力作用,并可能导致檩条的弯扭失稳或畸变失稳,故应分别进行上冀缘和下翼缘的稳定验算(之前也有提到过:针对光伏板的檩条上翼缘的稳定性是否需要验算问题,光伏板与常规的轻型屋面也是有区别,但是当风吸力很大的时候也会有檩条上翼缘受压失稳的风险,这一点通过上翼缘的受压稳定系数来进行进行相应的考虑);

  2. 檩条的受力模式及计算很复杂,在考虑受压区按有效截面计算后,其几何特性计算更为复杂,此外,屋面板传递给檩条的荷载通常不能通过檩条的剪切中心,且不与檩条的主惯性轴平行,故荷载和内力按照主形心惯性轴两个方向分解,又有附加的偏心扭矩,偏心扭矩等效于在上下冀缘附加一对力偶,此力偶使上下翼缘产生翘曲应力,当设有靠近上下冀缘的拉条(间距不大于3. 0m) 时,可不考虑翘曲应力。檩条的精确计算极为困难,故在设计时应尽量采用拉条、撑杆等构造措施消除檩条的翘曲应力,保障檩条的稳定性,拉条、撑杆的间距不宜大于 3.0m;

  3. 在进行内力分析时,首先要把均布荷载分解为沿截面形心主轴方向的荷载分量qx 、qy;

  4. 当屋面坡度小于1/3,qx值较小,檩条近似为单向受弯构件(之前也有提到:对于光伏支架,通常角度比较大,这个时候就不能等效成单向受弯构件,必须考虑沿着x轴方向的分力了)。

以下的截图为上一篇文章中的一些计算数据,这里用表格来进行计算,并把计算的一些过程在这里一并展示出来:

不同荷载组合下沿x轴和y轴的一个分量以及跨中和支座处的控制弯矩

檩条工具箱中的截面特性计算(仅作参考)

通过控制弯矩来计算相应的强度应力和稳定应力

第一跨和第二跨的挠度手算值

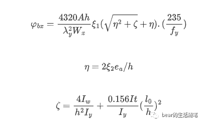
绕强(主)轴的稳定系数

    对于单轴或双轴对称的的简支梁,当绕对称轴(x轴)弯曲的时候,整体稳定性系数的公式如下:

一些相应的系数解释如下:

  • λy:梁在弯矩作用平面外的长细比

  • A:毛截面面积

  • h:截面高度

  • l_0:梁的侧向计算长度
  • ξ1和ξ2:按照表的系数采用

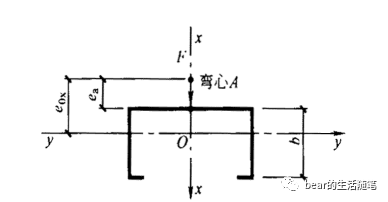
  • ea :横向荷载作用点到弯心的距离

    • 对于偏心压杆或当横向荷载作用在弯心时,ea=0;

    • 当荷载不作用在弯心且荷载方向指向弯心时为负,而离开弯心时ea为正;

  • W_x——对x轴的受压边缘毛截面模量;

  • Iω——毛截面扇性惯性矩;

  • Iy ——对y轴的毛截面惯性矩;

  • It ——扭转惯性矩。

如果按照上诉计算出来的稳定系数大于0.7,需要用以下的公式进行相应的修正

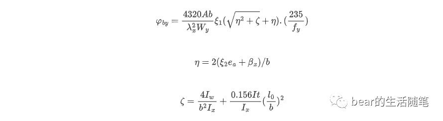
绕弱(次)轴的稳定系数

对于单轴或双轴对称的的简支梁,当绕对称轴y轴(弱轴)弯曲的时候,整体稳定性系数的公式如下:

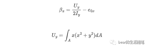
当y轴为对称轴的时候:βx=0

当y轴为非对称轴的时候:

λx---弯矩作用平面外的长细比(对x轴)

Wy---对y轴的受压边缘毛截面模量

exo---弯心的x轴坐标

如果按照上诉计算出来的稳定系数大于0.7,需要用以下的公式进行相应的修正

案例分析1

    备注:以下还是以上一篇文章中提到的用pkpm檩条工具箱计算的下翼缘整体问题系数为0.307,其中手算的值为0.303,将一些细节展示出来,并计算檩条没有计算的一个方向的稳定系数的问题,在上一个案例中,檩条的跨度为4700mm,并且中间没有设置拉条。

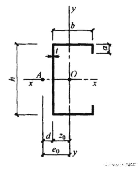
截面信息如下(相关截面特性有些是通过规范公式进行计算的,可能和软件计算的一些值有细微的出入):

截面:C120X50X15X2A = =484mm^2h = 120mmix=47.66mmiy=18.57mm绕y轴的长细比:253.04(不设拉条)绕y轴的长细比:126.52(设拉条)绕x轴的长细比:98.83绕x轴的截面模量:18551.34mm^4绕y轴的截面模量:5230.32mm^3xi-1和xi-2的值:1.13和0.46(不设置拉条)xi-1和xi-2的值:1.35和0.14(设置拉条)毛截面扇形惯性矩:496.23cm^6绕y轴的毛截面惯性矩:16.65cm^4绕x轴的毛截面惯性矩:109.45cm^4檩条跨距:4.7m

绕强轴弯曲的整体稳定系数

不设置拉条

弯心到腹板的距离d

形心到腹板距离z0

形点到弯心距离e0

横向荷载作用点至弯心距离ea

备注:

1、规范条文上解释:对于偏心压杆或当横向荷载作用在弯心时,ea=0;当荷载不作用在弯心且荷载方向指向弯心时为负,而离开弯心时为正;

2、此处的计算值与pkpm给出的这个值是有区别的,在pkpm檩条工具箱中采用的是h/2,这里为了保持后面的结果能够一致,也采用檩条工具箱中的算法取形心点到弯心的距离为60mm.

平面外的稳定系数同理,带入相应的公式计算即可,过程稍稍有点麻烦,毕竟涉及到的公式也更多。

后记

目前只是对不设置拉条的平面内外的稳定系数做了一个探讨,对设置有拉条的情况也可以同样带入进行计算得到相应的稳定系数;在实际项目中这里重点需要判定的是:是否设置拉条之后真正能到达到约束檩条上下翼缘的一个作用(在上一篇也有写到这方面的内容);对于U型钢的受弯稳定计算这里也没有过多的进行计算,U型钢的受弯稳定要差一点,所适用的一些范围和跨度都比较的小,一般都可以用经验的一些截面(当然相应的稳定系数也是可以按照公式进行计算得到的)。

打赏
关于索结构的一些知识整理~初识
上一篇
以一榀桁架为例谈grasshopper与犀牛的交互
下一篇

发表评论

注册不是必须的

生成中...
二维码标题